Kebnekajse sydtopp

Vinterbalansmätningar

För att kunna beräkna hur mycket massa som lagrats på glaciären under vintern behöver vi veta två saker: dels hur stor volym av snö som fallit och dels vilken densitet denna snö har.        
Densiteten på snön är enkel att bestämma. Vi gräver ett schakt genom snön och provtar en profil från ytan till bottnen på snöpacken. Provtagaren är ett cylindriskt rör med känd diameter och som normalt brukar vara 25 cm långt (mest för att få jämna siffror i protokollet). Genom att trycka ned provtagaren 25 cm i taget och sedan väga snön i röret kan vi beräkna densiteten. Den grekiska bokstaven ro (används normalt för att beteckna densitet. Densiteten räknas ut genom att man dividerar vikten på snön (m) mätt i kilo med volymen på röret (hr2) mätt i m³. Formeln för densitetsberäkningen blir då: = m/hr2. Genom att göra dessa mätningar genom hela snöpacken kan vi dels se hur densiteten varierar med djupet och dels sedan beräkna en medeldensitet som vi behöver för att göra om snövolymen till massa, d.v.s. snöns motsvarighet i vatten.
När snödjupet är mycket stort är det både svårt och tidskrävande att gräva schakt. Gränsen för när den metoden är användbar går vid ett snödjup av cirka tre till fyra meter. Vid ett större snödjup kan vi använda en kärnborr som tillåter oss att från ytan borra upp runda kärnor ned till mycket stora djup. Denna borr fungerar i princip på samma sätt som de stora borrar som används för att ta upp långa iskärnor både på Grönland och Antarktis.
Man tar där upp iskärnor som ofta kan vara flera kilometer långa. Att mäta en uppborrad kärna går till på ungefär samma sätt även om vi nu måste mäta diametern direkt på provet istället för på provtagaren.

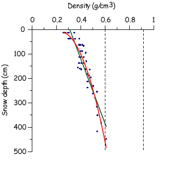
Figuren visar hur en uppmätt densitetsprofil genom ett tjockt snötäcke kan se ut.

Vi ser att densiteten är lägst vid ytan och ökar mot djupet. Just det här året blev medeldensiteten på snön 0.45 kg/m³. Det är viktigt att notera att densiteten inte ökar linjärt utan ökar snabbare i början för att mot djupet öka allt långsammare. Densiteten närmar sig också ett värde på strax under 500 kg/m³. Att densiteten ökar med djupet beror på att den snö som ligger djup ned trycks samman av den snö som ligger ovanpå. Ju högre upp i snöpacken vi tittar desto lägre är trycket. Att densitetsökningen går snabbt i de övre delarna beror på flera saker: dels packas snön av vinden, dels sker en rad processer i snön beroende på hur vädret är. Snön kan avdunsta eller vi kan få rimfrost som lägger sig på ytan. Samtidigt är det lättare att komprimera snö som är fluffig än snö som redan är kompakt. Allt detta bidrar till det utseende vi ser på kurvan ovan.
I samband med schaktgrävningar och borrningar gör vi också andra observationer av snön. Vi tittar på olika strukturer. Det är inte ovanligt att vi får in mycket varma vindar från Atlanten mitt i vintern i norra Sverige. Under dessa inbrytningar kan snö till och med smälta, vilket leder till att det bildas hårdare lager i snön, ibland till och med islager. Allt sådant kan vara av intresse och dokumenteras därför vid densitetsmätningarna.
När vi mäter snövolymen börjar vi med att mäta snödjupet. Eftersom snön lägger sig mycket ojämnt över glaciärens yta, mäter vi på ett stort antal punkter. Det är viktigt att vi kan erhålla representativa värden. På Storglaciären har vi löst detta genom att alltid mäta snödjup i ett kvadratiskt rutnät som täcker glaciären

Snödjupet mäts över hela Storglaciären, detta för att få ett tillförlitligt värde på mängden snö som samlats under vintern. Bilden anger snödjupet i centimeter.

Vi erhåller på detta sätt mer punkter än vad som egentligen är nödvändigt men samtidigt är Storglaciärens massbalans en slags referens. Därför kan den ökade noggrannheten vara på sin plats. Annars måste vi försöka gissa oss till hur snöfördelningen kan tänkas se ut och fördela mätningarna på ett logiskt sätt.

Storglaciärens yttopografi angiven i meter över havet.

Eftersom snö ofta blåser in i stora mängder på glaciärer, är snödjupet vanligen större längs kanterna samt i svackor där visst lä råder. Tunt snötäcke står att finna på konvexa ytor där vinden eroderar snön som fallit och transporterar den till t.ex. svackorna. Jämför yttopografin på Storglaciären med figuren som visar snödjupet på glaciären så ser du att de områden med tunt snötäcke sammanfaller med konvexa ytor och att tjock snö ligger i svackorna.
I praktiken måste vi på något sätt mäta snötjockleken i ett stort antal punkter. Detta görs traditionellt med hjälp av sondering. Vi tar helt enkelt en metallstång och stöter ned den genom snötäcket och mäter på detta sätt hur tjockt det är (exempel på hur dessa snösonder ser ut ser du i figuren.Detta arbete är både tungt och tidskrävande, speciellt när snödjupet börjar överstiga 4 meter (titta på kartan snödjupskartan så ser du hur mycket snö som måste sonderas). Att mäta alla punkter på Storglaciären tar därför uppåt 4 dagar (med bra väder) för 4 personer. Med tanke på hur vädret är i fjällen beräknar vi normalt att behöva två veckor!
För att beräkna hur mycket massa som kommit in på glaciären omvandlar vi först alla sonderingsvärden till deras så kallade vattenekvivalenter. Vi ska nu reda ut vad detta innebär. Då vatten har en densitet på 1000 kg/m3 betyder det att till exempel 4 meter djup snö med en densitet på 450 kg/m3 motsvarar 1,8 meters vattendjup. Det vill säga om vi skulle lyckas smälta snön på plats skulle vi få 1,8 meter djupt vatten. Om du själv vill pröva att räkna, kan du tänka dig en snöpelare som har en yta av 1 kvadratmeter och är 4 meter hög. Om du använder formeln för densitet kan du räkna ut att snön då väger 1800 kilo. Om snön smälter ändras inte massan, den är fortfarande 1800 kilo. Med hjälp av densitetsformeln räknar du nu ut vattenpelarens höjd om ytan fortfarande är 1 m2. Från densitetsmätningarna får vi det densitetsvärde vi behöver för att göra konverteringen och erhåller en karta där vi i varje sonderat punkt vet hur mycket vatten som adderats till glaciären i form av snö under vintern.
Nu måste vi omvandla dessa punktmätningar till något som täcker hela glaciären. Vi tar därför och skapar en kurvkarta för vattendjupets fördelning på glaciären, en slags topografisk karta över fördelningen av snö i form av vattenekvivalent på glaciären. Vattenekvivalent har enheten meter och anger det vattendjup som snön i en given punkt motsvarar. Kartan kan skapas antingen manuellt genom att för hand uppskatta var kurvorna för jämna vattendjupsintervall eller genom att utnyttja något datorprogram för kurvritning (t.ex. geografiska informationssystem, GIS).

Snödjupet mäts med hjälp av sond som har känd längd. Här ses spetsen på sonden. Bild: Peter Jansson.

Arbetsförhållandena kan variera för en glaciolog! Snöstorm i Tarfala. Bild: Peter Jansson.

När kartan är framtagen kan vi mäta mängden vatten genom att mäta arean som varje höjdintervall omfattar och addera samman dessa. Låt oss jämföra med en topografisk karta. Där har varje höjdintervall en bestämd höjd. Det är t.ex. 10 meter mellan varje höjdkurva. Genom att mäta den area som en höjdkurva omfattar kan vi beräkna vilken volym som höjdintervallet har. Volymen ges som arean multiplicerat med avståndet mellan höjdkurvorna (10 gånger intervallets area i fallet med topografiska kartan). När vi beräknar massbalansen kan vi själva bestämma vilket höjdintervall vi vill ha på snödjupskartan (eller egentligen snödjupet omräknat till vattenvärde). Vi har valt 25 centimeters höjdintervall för att kunna få en detaljerad bild av fördelningen snö (vattenekvivalent). Det betyder att vi mäter arean för varje intervall och multiplicerar det med 0,25 m (=25 centimeter) och erhåller mängden vatten för det intervallet. Genom att göra om samma typ av beräkning för alla intervall och därefter addera alla delvolymer, erhåller vi den totala mängden snö omräknat i volym vatten.

Vinterbalans 1999 på Storglaciären. Bilden visar mängd ackumulerad snö angiven i meter vattenekvivalent.

På så vis erhåller vi en siffra, vinterbalansen, som volymen vatten som lagrats på glaciären. Året som kartan visar gav en vinterbalans på 4.32×106 (milj) m3. Detta blir en mycket stor siffra så det är mer praktiskt att ange vinterbalansen i form av ett så kallat specifikt värde, vilket beräknas genom att ta den nyss beräknade volymen och dividera med glaciärens area. Då glaciären har en area av 3.1×106 (milj) m2 får vi en vattenekvivalent (specifikt värde) om 1.33 meter vattendjup.
Det erhållna värdet som har sorten meter vattenekvivalent anger hur mycket vatten som i medeltal tillförts glaciären under vintern. (Skillnaden mellan vattenekvivalent och specifikt värde är att vattenekvivalenten beräknas genom att konvertera snö till dess motsvarighet i vatten med hjälp av densiteten medan specifika värdet erhålls genom att dividera den uppmätta volymen vatten (beräknat från mängden snö och dess vattenekvivalent) med arean på glaciären. Båda mäts i enheten meter vattendjup.

Polarisen